Notice
Recent Posts
Recent Comments
Link
| 일 | 월 | 화 | 수 | 목 | 금 | 토 |
|---|---|---|---|---|---|---|
| 1 | ||||||
| 2 | 3 | 4 | 5 | 6 | 7 | 8 |
| 9 | 10 | 11 | 12 | 13 | 14 | 15 |
| 16 | 17 | 18 | 19 | 20 | 21 | 22 |
| 23 | 24 | 25 | 26 | 27 | 28 | 29 |
| 30 |
Tags
- 팀플기록
- matplotlib
- 주피터노트북맷플롯립
- 판다스그래프
- 파이썬시각화
- 주피터노트북데이터분석
- 파이썬수업
- 주피터노트북판다스
- 수업기록
- 맷플롯립
- sql연습
- python알고리즘
- 파이썬알고리즘
- 파이썬
- SQL수업
- SQLSCOTT
- 파이썬데이터분석주피터노트북
- sql연습하기
- 파이썬크롤링
- 파이썬데이터분석
- 주피터노트북
- python데이터분석
- Python
- SQL
- 판다스데이터분석
- 주피터노트북그래프
- python수업
- 파이썬차트
- 데이터분석시각화
- sql따라하기
Archives
- Today
- Total
IT_developers
Python 데이터 분석(주피터노트북) - 타이타닉 본문
타이타닉
- 영국의 화이트스타 라인이 운영한 북대서양 횡단 여객선
- 1912년 4월 10일 영국의 사우샘프턴을 떠나 미국의 뉴욕으로 향하던 첫 항해 중에 4월 15일 빙산과 충돌하여 침몰
- 사고로 1,514명 사망(탑승인원2,224명)
라이브러리 및 세팅
- import seaborn as sns
- seaborn 폰트 사용 - 한글처리보다 먼저 선언해야함
- sns.set(font_scale=1)
- import pandas as pd
- import matplotlib.pyplot as plt
- 한글처리
- plt.rcParams['font.family'] = 'Malgun Gothic'
- plt.rcParams['axes.unicode_minus'] = False
- 경고 메세지
- import warnings
- warnings.simplefilter("ignore")
- seaborn 스타일의 그래프를 사용
- plt.style.use('seaborn')
데이터 로드

데이터 탐색
- survived, alive : 생존여부(0:사망, 1:생존)
- pclass, class : First가 가장 좋은 등급, Third가 제일 낮은 등급
- sibsp : Sibling, Spouse 숫자(형제자매/배우자 수)
- parch : Parent, Child 숫자(부모/자녀 수)
- fare : 요금
- embarked : 승선지(S:Southampton, C:CHERBOURG, Q:Queenstown)
- who : man, woman, child
- deck : 객실 번호
- alone : 혼자 탑승 여부



데이터 분석
1) class 별 탑승객 수 구하기

1-1) 시각화
- countplot

2) 승객 클래스 별로 지불한 요금의 평균?

3) 승객 클래스 별로 지불한 요금의 중앙값?

4) 생존자 정보(alive)

5) 생존자별 class 추출

6) class 별 age 기술통계요약

7) 성별을 그룹으로 해서 age 컬럼에 대한 최소, 중앙값, 최대값만 출력

8) 나이가 30세 초과인 승객들만 class별로 그룹으로 묶어 중앙값
- 30세 초과 승객

9) 요금 지불 금액이 20보다 작은 승객들만 class 별로 묶어서 중앙값

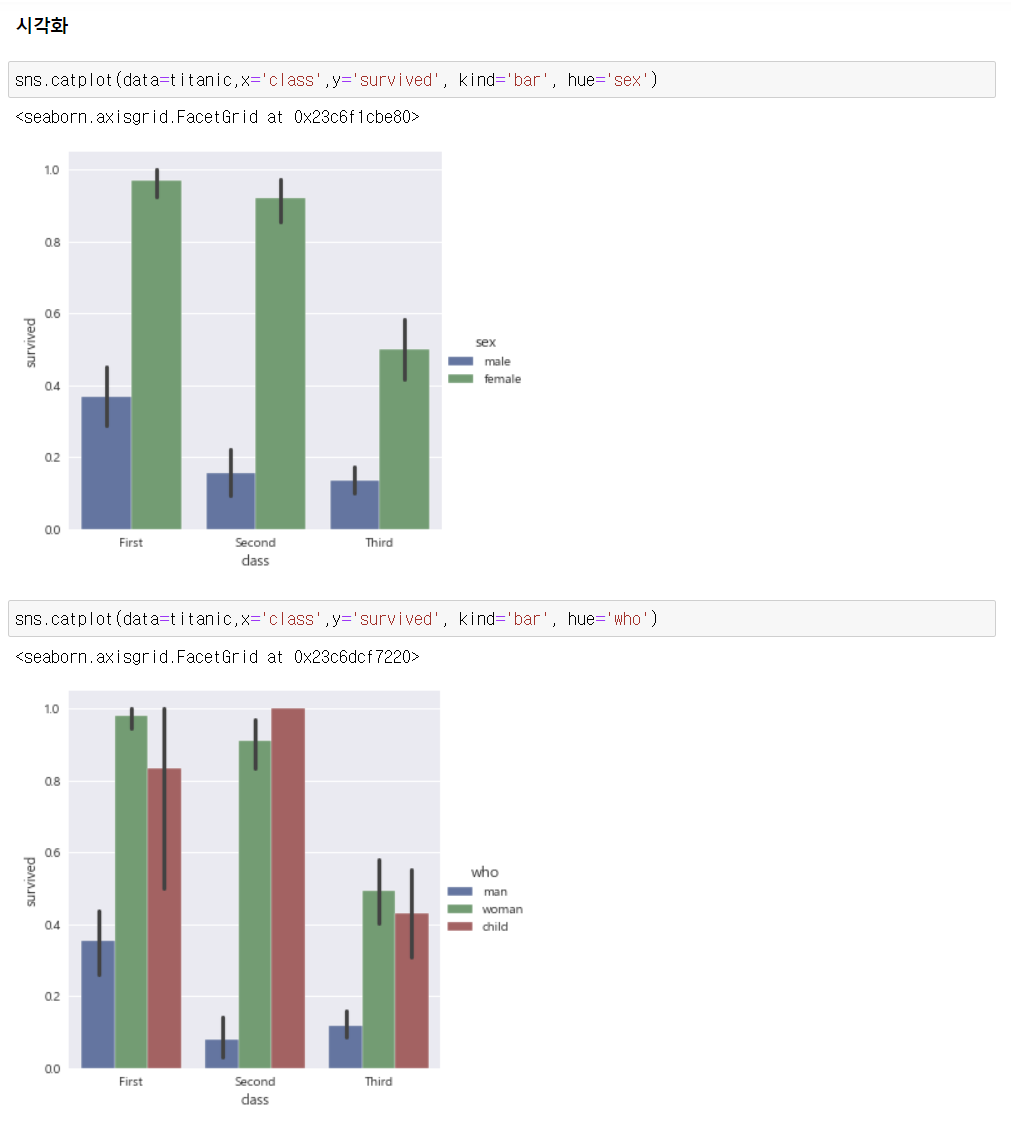
10) 성별 시각화
- catplot

11) 요금 분석 및 시각화


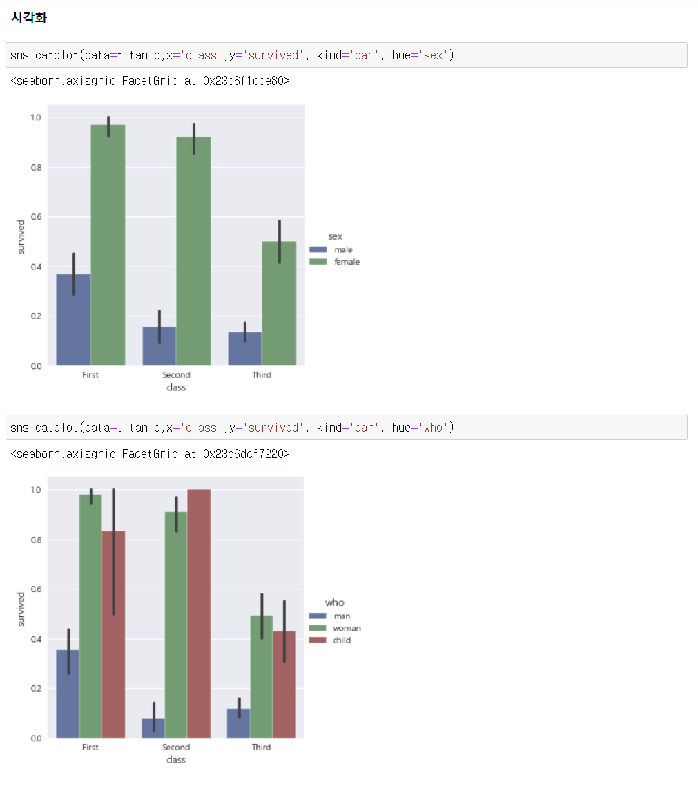
12) 생존 시각화


13) pd.cut() : 보고 싶은 구간을 지정해서 데이터 나누기
- cut(데이터, 구간, 구간 레이블) : 'survived',['who',age],'class'

- col = who를 기준으로 나눠서 차트를 그려줌


14) deck 별 탑승자 시각화

15) 탑승장소 : embark_town


16) 형제, 자매, 배우자의 수

'Python' 카테고리의 다른 글
| Python 데이터 분석(주피터노트북) - 국제 축구 경기 (0) | 2022.12.06 |
|---|---|
| Python 문자 시각화(주피터노트북) - 워드 클라우드 (0) | 2022.12.06 |
| Python 데이터 분석(주피터노트북) - 서울시 따릉이 (0) | 2022.12.04 |
| Python 지도 시각화(주피터노트북) - folium(2) (0) | 2022.12.03 |
| Python 지도 시각화(주피터노트북) - folium(1) (0) | 2022.12.03 |
Comments