| 일 | 월 | 화 | 수 | 목 | 금 | 토 |
|---|---|---|---|---|---|---|
| 1 | ||||||
| 2 | 3 | 4 | 5 | 6 | 7 | 8 |
| 9 | 10 | 11 | 12 | 13 | 14 | 15 |
| 16 | 17 | 18 | 19 | 20 | 21 | 22 |
| 23 | 24 | 25 | 26 | 27 | 28 | 29 |
| 30 |
- 파이썬크롤링
- 수업기록
- sql따라하기
- 파이썬알고리즘
- 주피터노트북판다스
- SQL
- 판다스데이터분석
- SQLSCOTT
- python수업
- 파이썬데이터분석
- 주피터노트북데이터분석
- 데이터분석시각화
- 판다스그래프
- 파이썬수업
- 주피터노트북
- sql연습
- 주피터노트북맷플롯립
- 주피터노트북그래프
- 팀플기록
- SQL수업
- 파이썬
- 파이썬차트
- sql연습하기
- matplotlib
- python알고리즘
- python데이터분석
- 파이썬시각화
- Python
- 파이썬데이터분석주피터노트북
- 맷플롯립
- Today
- Total
IT_developers
SQL Developer - 데이터 분석(3) 본문

ORDERTBL 데이터 분석
- orderTBL orderid 컬럼은 item id(num)와 일치
- orderTBL userid 컬럼은 usertbl 의 userid와 일치
- item category_id 컬럼은 category id(num) 와 일치
1. orderTBL 조회
SELECT
*
FROM
ordertbl;

1) userid가 없는 주문 내역 조회
SELECT
*
FROM
ordertbl
WHERE
userid IS NULL;

2) 아이템 테이블 조회

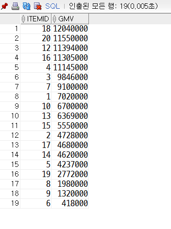
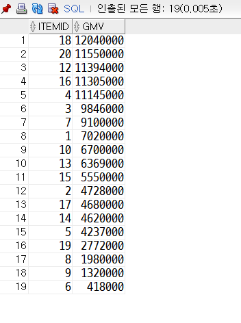
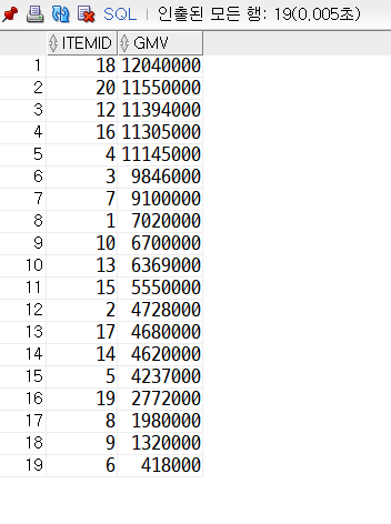
3) 상품별 매출액 집계 후 매출액 높은 순으로 정렬
SELECT
itemid,
SUM(gmv) AS gmv
FROM
ordertbl
GROUP BY
itemid
ORDER BY
gmv DESC;

4) 위의 결과 + itemid 의 제품이 무엇인지 보여주기(item)

-- where 절
SELECT
itemid,
item_name,
SUM(gmv) AS gmv
FROM
ordertbl o,
item i
WHERE
o.itemid = i.num -- num(id)
GROUP BY
itemid,
item_name
ORDER BY
gmv DESC;
-- join ~on : 내부조인
SELECT
itemid,
item_name,
SUM(gmv) AS gmv
FROM
ordertbl o
JOIN item i ON o.itemid = i.num -- num(id)
GROUP BY
itemid,
item_name
ORDER BY
gmv DESC;

5) 카테고리별 매출액 : 3개 조인

SELECT
c.cate1,
c.cate2,
c.cate3,
SUM(gmv) AS gmv
FROM
ordertbl o
JOIN item i ON o.itemid = i.num
JOIN category c ON i.category_id = c.num
GROUP BY
c.cate1,
c.cate2,
c.cate3
ORDER BY
gmv DESC;

6) 성별 매출액

SELECT
u.gender,
SUM(gmv) AS gmv
FROM
ordertbl o
JOIN usertbl u ON o.userid = u.userid
GROUP BY
u.gender
ORDER BY
gmv DESC;

7) 성별/ 연령대 별 매출액
-- 연령대 그룹 확인
SELECT
*
FROM
usertbl;

SELECT
u.gender,
u.age_band,
SUM(gmv) AS gmv
FROM
ordertbl o
JOIN usertbl u ON o.userid = u.userid
GROUP BY
u.gender,
u.age_band
ORDER BY
u.gender,
u.age_band;

'SQL' 카테고리의 다른 글
| SQL Developer - 데이터 분석(5) (1) | 2022.10.15 |
|---|---|
| SQL Developer - 데이터 분석(4) (0) | 2022.10.14 |
| SQL Developer - 데이터 분석(2) (0) | 2022.10.12 |
| SQL Developer - 데이터 분석(1) (0) | 2022.10.11 |
| SQL Developer - 데이터 분석 환경 설정 (0) | 2022.10.10 |